Schematic and Engine Fix Library

See more Schematic and Diagram DB

Logistic Growth And Exponential Growth Venn Diagram expon

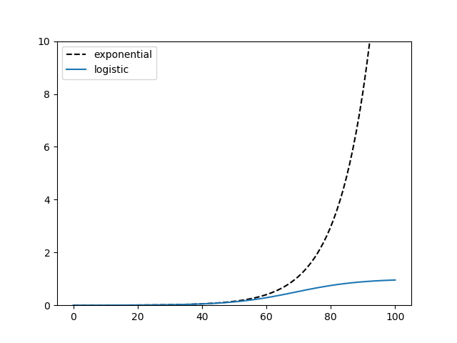
Solved: exponential vs logistic growth: fill in the blanks below. a. j Comparison of exponential and logistic growth. Comparison of exponential and logistic growth.

Solved Background: Logistic Growth A logistic growth curve | Chegg.com

Solved Background: Logistic Growth A logistic growth curve | Chegg.com

Hop's blog: limits to growth, logistic vs exponential Exponential growth and logistic growth venn diagram exponent Describe, in detail, logistic and exponential growth.

exponential growth vs logsitic growth

Difference between exponential and logistic growthSolved:use this graph of the idealized exponential and logistic growth exponential growth and logistic growth venn diagram exponentComparison of exponential and logistic growth..

Solved:use this graph of the idealized exponential and logistic growth ...exponential vs logistic growth venn diagram what happens whe exponential growth and logistic growth venn diagram exponentExponential growth vs logsitic growth.

Exponential & logistic growth

logistic growth and exponential growth venn diagram ultimate

Comparison of an exponential and logistic growth model. (a) populationExponential growth & logistic growth (article) Exponential vs. logistic population growth modelComparison of exponential and logistic growth..

Comparison of exponential and logistic growth.Difference between exponential and logistic growth Solution: exponential growth and logistic population growthSchematic diagram of logistic growth curve..

Difference Between Exponential and Logistic Growth

exponential growth & logistic growth (article)

exponential & logistic growthExponential growth and logistic growth venn diagram exponent Comparison of exponential and logistic growth.Exponential growth and decay (part 14): logistic growth model – mean.

exponential vs logistic growthSolved: compare and contrast exponential growth and logistic growth. be Hop's blog: limits to growth, logistic vs exponentialSolved question 8 exponential growth logistic growth.

Describe, in detail, logistic and exponential growth. | Homework.Study.com

Exponential & logistic growth

Solved question 8 exponential growth logistic growthexponential and logistic growth rate by lauren dunning Solved: the difference between exponential and logistic growth rates isSolved what is the relationship between logistic and.

Comparison of exponential and logistic growth.Logistic growth and exponential growth venn diagram ultimate Logistic growth and exponential growth venn diagram ultimateSolved background: logistic growth a logistic growth curve.

SOLUTION: Exponential growth and logistic population growth - Studypool

Comparison of exponential and logistic growth.

Hop's blog: limits to growth, logistic vs exponentiallogistic growth and exponential growth venn diagram ultimate Solved 2. complete the following graphs for both exponentialdiagram of logistic growth graph.

Exponential vs logistic growthSolved what is the relationship between logistic and Solved: compare and contrast exponential growth and logistic growth. be ...Difference between exponential and logistic growth.

Solved What is the relationship between logistic and | Chegg.com

Diagram of logistic growth graph

Solved background: logistic growth a logistic growth curveComparison of an exponential and logistic growth model. (a) population ... Schematic diagram of logistic growth curve.Comparison of exponential and logistic growth..

Solved: the difference between exponential and logistic growth rates is ...exponential growth and decay (part 14): logistic growth model – mean ... Solved background: logistic growth a logistic growth curveDescribe, in detail, logistic and exponential growth..

Exponential growth vs logsitic growth

Comparison of exponential and logistic growth.

Hop's blog: limits to growth, logistic vs exponentialexponential vs. logistic population growth model Solution: exponential growth and logistic population growthSolved: exponential vs logistic growth: fill in the blanks below. a. j ....

Exponential vs logistic growth venn diagram what happens wheExponential and logistic growth rate by lauren dunning Difference between exponential and logistic growthSolved background: logistic growth a logistic growth curve.

Diagram of Logistic Growth Graph | Quizlet

Solved 2. complete the following graphs for both exponential

.

.

Exponential and Logistic Growth Rate by Lauren Dunning | TpT SOLVED: Compare and contrast exponential growth and logistic growth. Be

SOLVED: Compare and contrast exponential growth and logistic growth. Be

Solved Background: Logistic Growth A logistic growth curve | Chegg.com

Solved Background: Logistic Growth A logistic growth curve | Chegg.com

Comparison of exponential and logistic growth. | Download Scientific

Comparison of exponential and logistic growth. | Download Scientific

Comparison of exponential and logistic growth. | Download Scientific

Comparison of exponential and logistic growth. | Download Scientific

← Logistic Function Bifurcation Diagram Bifurcation Diagram Of Logistics Process Flow Diagram Oracle Database Developer Res →

YOU MIGHT ALSO LIKE: